La física y los vio...
 
Compartir:
Avisos
Borrar todo

La física y los violines antiguos.

8 Publicaciones
4 Usuarios
0 Reactions
1,833 Veces visto
0
Publicación inicial

Hola, qué tal? Soy bastante ignorante en el funcionamiento de los violines. Entonces quería ver si me podían ayudar con un pregunta. En un trabajo de la universidad me dejaron las siguiente pregunta:

"Considere una situación en la que tiene un violín antiguo y le piden que utilice sus conocimientos de física para determinar la frecuencia de la nota que produce una de las cuerdas ¿podemos aproximarla aún si no es posible medirla directamente? ¿Qué magnitudes físicas, fenómenos u otros mecanismos serían necesarias determinar o considerar? Justifique su respuesta utilizando los conceptos de ondas estacionarias en cuerdas."

 

He estado buscando información pero no encuentro nada preciso sobre que diferencias estructurales hay entre un violín antiguo y uno nuevo. Si me pueden ayudar con esto se los agradecería muchísimo, y si tienen más información que me pueda ayudar con esta pregunta aún mejor, gracias :)


3 Respuestas
0

Hola Alers02

 

Bienvenido al foro!

En la determinación de la frecuencia de una cuerda al aire no influye si es un violin moderno o antiguo. 

Los parámetros necesarios para determinar con exactitud la frencuencia fundamental son:

 

L= longitud, m= masa y T= tensión

 

Creo que te hacen dudar al meter una información innecesaria al hablarte de un violin antiguo y tal

 

Es ésto lo que necesitabas o estoy entendiendo yo mal la pregunta?

 

Jose

 


http://www.josecatoira.com

c284aef0e62e9590dbcdcd86d8a531b279871a05a7967204e00663618f9e0a72?s=36&d=mm&r=g Jesús Fernández 21 marzo, 2022 17:27

@jose-catoira Jajaj, vaya, justo acababa de contestar lo mismo.


ad82d1e32f76014c0d38710a908427f5c018ed11aec3a2224217b173fc150474?s=36&d=mm&r=g alers02 Publicación inicial 21 marzo, 2022 17:35

@jose-catoira muchísimas gracias por la ayuda y aclararme la duda. Que tenga un lindo día :)


José Catoira José Catoira 21 marzo, 2022 17:41

Jajajajajajaja

Hoy estamos a tope!!!!!!

Así es una maravilla

Jose


0

Hola @alers02, bienvenido al foro. Sin menoscabo de lo que opine José Catoira, que igual me da un pescozón por lo que voy a decir, creo que el dato de "violín antiguo" del problema es meramente decorativo, porque no considero que ese hecho tenga ninguna influencia en la física de las cuerdas o en su frecuencia. 

Hasta donde yo sé frecuencia de la nota en un instrumento viene dada por diversos factores, como la tensión a la que está sometida la cuerda, su longitud o su grosor. Pero no la edad del instrumento. La caja acústica lo que hace es amplificar, enriquecer, equilibrar y proyectar el sonido, pero dudo que una madera más vieja o más nueva pueda cambiar la nota producida.


ad82d1e32f76014c0d38710a908427f5c018ed11aec3a2224217b173fc150474?s=36&d=mm&r=g alers02 Publicación inicial 21 marzo, 2022 17:39

@chusman muchísimas gracias por la explicación :)


0

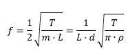
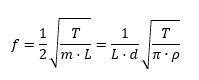
Buenos días:

En resumen, la frecuencia fundamental de vibración de una cuerda viene dada por:

image

Donde las letras representan la tensión, masa, longitud, diámetro y densidad de la cuerda, y el número pi.

La última igualdad solo es válida si la densidad de la cuerda es constante, lo que nunca sucede en las cuerdas modernas, o tomando una densidad promedio.

Respondiendo a la pregunta, estas son las magnitudes que intervienen, aunque creo que es más fácil medir directamente la frecuencia que algunas de las anteriores.

En este enlace de Wikipedia, por ejemplo, tenéis algo más de explicación:

https://es.wikipedia.org/wiki/Cuerda_vibrante

Si queréis retorcer más la respuesta :-P , podemos decir que un violín antiguo es más probable que tenga cuerdas con densidad constante (tripa sin entorchar) y entonces podemos aplicar la segunda forma de la ecuación. Y dejas al examinador descolocado.

 


c284aef0e62e9590dbcdcd86d8a531b279871a05a7967204e00663618f9e0a72?s=36&d=mm&r=g Jesús Fernández 29 marzo, 2022 9:07

@francisco-a Muy interesantes los datos que aportas Francisco, me he quedado turulato con la fórmula. Imagino que eso será la piedra angular de los fabricantes de cuerdas.
Un saludo y bienvenido al foro.


Compartir: